13 Bio-optical Conditions
13.1 Overview
The underwater light climate in Cockburn Sound and Owen Anchorage is one of the most important attributes that links human activities, water quality and seagrass health. CSIEM includes advanced light simulation capability, able to resolve the light climate and variability in the drivers of light attenuation.
Capturing the underwater light environment requires an understanding the role of different Inherent Optical Properties (IOP’s), which control the absorption and scattering of light. These IOPs include algal cells, detrital particles, chromophoric DOM (CDOM), and different types of inorganic sediment particles. Each of these properties varies considerably over space and time, both over seasonal time-scales and also significantly during events such as a local algal blooms, or river flood pulses (see Figure 13.1). Daily shipping and dredging operations within the shallow waters can also lead to complex patterns of water turbidity.

Figure 13.1. Snapshots taken from Sentinel-2 imagery showing periods where different optical properties can dominate water properties in and around Cockburn Sound. Visit the CSIEM Sentinel-2 explorer for details and further images.
Developing a well-calibrated light model is a useful way to help integrate the diversity of data from these sources and capture the variability in this key driver of ecosystem productivity. Additionally, key anthropogenic stressors associated with Cockburn Sound activities are related to dredging and in order to support environmental impact assessment, having a well parameterised light model is essential. Optically active constituents in the default CSIEM configuration include \(SS_1\), \(SS_2\), \(POM\), \(DOM\), and 4x \(PHY\) groups (see Chapter 12), plus additional \(SS\) groups can optionally be added to resolve the dredge- or shipping- related material.
In this Chapter, two light model approaches are described which are configured within the AED model to compute the light climate variation in response to the optically active constituents. The first model is the “default” bulk-PAR model, and a second spectral model able to resolve the absorption and scattering of individual light wavelengths. Comparison of their predictions against selected data-sets is also described.
13.2 Data availability and synthesis
A range of high quality light-related data-sets have been collected for assessing the light, including long-term monitoring of light attenuation, above and below water sensors measureing in situ \(PAR\), and several spectral (multi-wavelength) light sensor deployments. Refer to Figure 13.2) for a broad summary of past data collection efforts, and Table 13.1 for a summary of key data sets considered during model assessment.

Figure 13.2. Light data-set: Summary of CSIEM data catalogue showing identified hydrodynamics data. Click to enlarge. Visit the csiem-data catalogue for further information.
| Dataset | Description | Stations | Range | Notes |
|---|---|---|---|---|
| PAR (above water) | ||||
| WAMSI-WWMSP5-MET | Downwelling PAR installed at Woodman Point (NE Cockburn Sound) | 1 (KwinanaShelf) | Nov 2022 - July 2023 | NA |
| DWER-CSMOORING-MS9 | Downwelling PAR installed on Mangles Bay mooring (SW Cockburn Sound) | 1 (Mangles Bay) | TBC | NA |
| PAR (below water) | ||||
| WAMSI-WWMSP2-MS9 | Bulk PAR measured on Kwinana Shelf seabed | 1 (KwinanaShelf) | Nov 2022 - July 2023 | non-shaded data-set @ ~8m deep |
| WAMSI-WWMSP3-SEDDEP | Bulk PAR measured by turbidity loggers in CS and OA locations | 6 | Dec 2022 - Dec 2023 | NA |
| WAMSI-WWMSP5-WQ | Bulk PAR measured in OA and CS locations for ~ 5 intensive deployments | 3 (CS4, CS5, CS6) | TBC | NA |
| DWER-CSMOORING-MS9 | Bulk PAR computed from MS9 spectral data | 4 sites | TBC | NA |
| Spectrally-resolved data | ||||
| WAMSI-WWMSP2-MS9 | Bulk PAR measured on Kwinana Shelf seabed | 1 | Nov 2022 - July 2023 | non-shaded data-set @ ~8m deep |
| DWER-CSMOORING-MS9 | Bulk PAR computed from MS9 spectral data | 4 sites | TBC | NA |
| Attenuation (Kd) | ||||
| DWER-CSMWQ | Regular profile data used to compute integarted light attenuation | 35 (…TBC… regularly sampled sites) | TBC | NA |
| WAMSI-WWMSP3-CTD | Regular profile data used to compute integarted light attenuation | 18 sites | Sep 2022 - Sep 2024 | NA |
13.3 Bulk \(PAR\) attenuation model
Photosynthetically Active Radiation (PAR; 400–700 nm) decreases with depth as light is absorbed and scattered by pure water, suspended inorganic sediments, phytoplankton pigments, and particulate and dissolved organic matter. In a bulk (band-averaged) model, this loss of light is represented with a diffuse attenuation coefficient for PAR, \(K_{d,\text{PAR}}\) (m\(^{-1}\)).
Using the well-established Beer-Lambert equation, the downwelling PAR irradiance at depth \(z\) (m), denoted \(I_{\text{PAR}}(z)\) (in W m\(^{-2}\) , or converted to mol photons m\(^{-2}\) s\(^{-1}\)), is computed as:
\[ I_{\text{PAR}}(z) = I_{\text{PAR}}(0^-)\, \exp\left[-\int_0^{z} K_{d,\text{PAR}}(z')\,\mathrm{d}z'\right] \]
where \(I_{\text{PAR}}(0^-)\) is PAR just below the water surface. Within AED, this calculation is resolved discretely over the vertical layer increments, such that the light at the bottom of each vertical layer is calculated from the bulk layer properties:
\[ I_{\text{PAR}}(z^+_i) = I_{\text{PAR}}(z^-_i)\,\exp\left(-K_{d_i}\,\Delta z_i\right). \]
where \(i\) denotes the vertical grid layer which has a thickness \(\Delta z\), and \(K_{d_i} = K_{d,\text{PAR}}\) for the \(i^{th}\) layer. To compute \(K_{d_i}\), the model aggregates the attenuation from contributions due to:
- background (pure) water,
- two classes of inorganic suspended sediment,
- particulate organic carbon (POC),
- dissolved organic carbon (DOC),
- phytoplankton / chlorophyll-a,
using a simple linear-additive formulation:
\[ K_{d_i} = K_{w} + k_{\text{e_ss1}}\,SS_1 + k_{\text{e_ss2}}\,SS_{\text{2}} + k_{\text{e_poc}}\,\text{POC} + k_{\text{e_doc}}\,\text{DOC} + \sum{k_e}_a\,PHY_a \]
where:
- \(K_{w}\) is the background attenuation of PAR by pure water (m\(^{-1}\)), and
- \(k_{\text{e}}\) are the consituent-specific specific PAR attenuation coefficients (e.g. m\(^{-1}\) per unit concentration), and
- the constituents refer to their concentrations in the \(i^{th}\) layer.
At the water’s surface the incoming light (\(I_0\)) is specified based on the downwelling solar radition intensity from the meterogological boundary condition file (either BARRA or WRF), and the PAR fraction entering the water is assigned to be 45% of the incoming solar intensity. At the seabed (or top of a submerged seagrass canopy), the incident light is computed by following the above equation down the set of water layers that make up the water column. This formulation is run as default in the CSIEM hydrodynamic–biogeochemical simulations to resolve spatial and temporal variability in underwater light climate, and to resolve benthic PAR. This can be optionally extended to run the spectrally-resolved light, described in Section 10.3.
Whilst the model is simple and applied widely, the challenge is locally parameterising the specific-attenuation coefficients, \(k_{\text{e}...}\), in order to accurately reflect local conditions. For Cockburn Sound, we reviewed literature values for similar embayments and local estimates, and then undertook refinement by a) adjusting of the specific attenuation factors to match \(K_d\) observations (specifically for \(SS\)), and b) validating light attenuation against benthic PAR sensors (see 13.2 for a description of the available data-sets). A summary table of coefficients in shown in Table 13.2.
| Parameter | Description | Unit | CSIEM | Notes |
|---|---|---|---|---|
| Specific Attenuation | ||||
| \[K_w\] | Pure water attenuation | \[\small{m^{-1}}\] | 0.05 | Background water attenuation typically 0.04–0.07 in clear coastal waters. |
| \[k_{e_{ss1}}\] | Attenuation by fine SS group (\(SS_1\)) | \[\small{m^{-1}\:(g\:m^{-3})^{-1}}\] | 0.085 | Fine suspended sediments: 0.05–0.15; higher attenuation rates for fine silts and clays with strong scattering properties. |
| \[k_{e_{ss2}}\] | Attenuation by coarse SS group (\(SS_2\)) | \[\small{m^{-1}\:(g\:m^{-3})^{-1}}\] | 0.045 | Coarser inorganic particles (fine sands and silt): \(0.02–0.06\); attenuation drops with increasing particle size as less scattering per unit mass (Bowers & Binding 2006). Default value of \(0.05\) commonly adopted. |
| \[k_{e_{poc}}\] | Attenuation by detritus (\(POC\)) | \[\small{m^{-1}\:(mmol\:C\:m^{-3})^{-1}}\] | 0.01 | POC optical effects vary by composition; equivalent to \(0.001–0.01 \: m^2 mg C^{-1}\). For mmol C units, this corresponds approximately to \(0.012–0.12\: m^2 mmol C^{-1}\) (using 1 mmol C ≈ 12 mg C). |
| \[k_{e_{doc}}\] | Attenuation by \(CDOM\) (as indicated by \(DOC\)) | \[\small{m^{-1}\:(mmol\:C\:m^{-3})^{-1}}\] | 0.005 | This term is usually elevated near riverine or groundwater inputs with high terrestrial DOM inputs. DOC influences light via CDOM absorption. Typical coastal CDOM attenuation 0.001–0.02 m\(^2\) mg C\(^{-1}\), equivalent to 0.012–0.240 m\(^2\) mmol C\(^{-1}\). |
| \[k_{e_{phy}}\] | Attenuation by \(\text{Chl-a}\) (as indicated by \(PHY_C\)) | \[\small{m^{-1}\:(mmol\:C\:m^{-3})^{-1}}\] | 0.0030 - 0.0051 (group specific) | This term influences extinction due to algal biomass. Phytoplankton chlorophyll-specific attenuation values reported between \(0.015–0.03\:m^2\:mg\:\text{Chl-a}^{-1}\) (Gallegos 2001; Gallegos and Moore 2000; Devlin et al. 2009), with ~0.02 commonly used. In carbon units (for AED), this equates to \(0.0036–0.0072 \: m^{-1}/ (mmol\:C/m^{-3})^{-1}\). O2M (2025) estimated phytoplankton attenuation locally with Cockburn Sound data from March 2025 and estimated \(K_{e_{chla}}\) to be $\(K_{e_{phy}} = 0.128\: m^2\: mg\:\text{Chl-a}\:^{-1}\) which converts to \(~0.03\: m^{-1} (mmol\:C/m^{-3})^{-1}\) |
13.3.1 \(K_d\) validation
Since the simulated \(K_d\) can have variable drivers, due to the numerous factors outlined in Table 13.2, the predictions are validated against local observations. The light attenuation coefficient has been measured across three main data collection programs (Table 13.1). For brevity, the model is compared against the four broad assessment regions which each contain several regular data sampling locations for the year of 2023 (Figure 13.3). For comparison against the CSMC data or local sampling sites, over different years refer to the MARVL viewer.
Despite the large variability in \(TSS\), \(Chl-a\) and organic carbon pools in the model, the observed \(K_d\) estimates are show a low range of variation.
Cockburn Sound

Figure 13.3-i. Comparison of observed and simulated light extinction coefficient (\(K_d,\: /m\)), within Cockburn Sound.
Owen Anchorage

Figure 13.3-i. Comparison of observed and simulated light extinction coefficient (\(K_d,\: /m\)), within Owen Anchorage.
13.3.2 Benthic \(PAR\) validation
The bulk-PAR light model within AED was assessed using the WWMSP2-MS9 data-set (REF et al., 2024). The data-set sits at a sebed depth of ~8 m on the western edge of Kwinana Shelf, and shows a range of conditions spanning from summer to 2022/2023 through to winter of 2023. Figure 13.XX below shows six 2-3 week periods where conditions were assessed. For this comparison the data was assumed to sit 20 cm above the seabed, and this was compared with the upper face of the bottom-most model layer.
December

Figure 13.4-i. Comparison of observed and simulated light (\(PAR,\:W/m^2\)) on the Kwinana Shelf in December 2022. [REPLOT TO REMOVE SHADED REPLICATE]
January

Figure 13.4-ii. Comparison of observed and simulated light (\(PAR,\:W/m^2\)) on the Kwinana Shelf in January 2023. [REPLOT TO REMOVE SHADED REPLICATE]
February

Figure 13.4-iii. Comparison of observed and simulated light (\(PAR,\:W/m^2\)) on the Kwinana Shelf in February 2023. [REPLOT TO REMOVE SHADED REPLICATE]
March

Figure 13.4-iv. Comparison of observed and simulated light (\(PAR,\:W/m^2\)) on the Kwinana Shelf in March 2023.
13.4 Spectrally-resolved bio-optical model
From CSIEM 1.5 and above, an implementation of a spectrally-resolved light model was included within the AED model configuration, and this chapter outlines the approach to this model, and assessment of its accuracy that was undertaken. The model includes both an above and below water component, and can be integrated in with the water quality and biological components within AED. This model is benchmarked against the known reference approaches within the HydroLight / EcoLight software, and validated against an available below-water spectral data-set.
13.4.1 Model description
The light model in CSIEM is based on OASIM. Light is propagated from 250 nm to 4 um in 33 spectral bands, and reported out to a user-defined resolution, which for the default application uses an interpolated wavelength vector that spans 280nm to 1.1um in 16 steps. The above water illumination is provided in the same 33 OASIM bands via one of two available methods, one based on OASIM downwelling radiation calculations, and a second custom method developed specifically for Cockburn Sound. The air/sea interface is a wind-roughened surface with a proportion of diffusely reflecting sea foam when near-surface wind speeds exceed 4 m/s. The above and below water model components are each described separately in the next sections.
13.4.1.1 Above-water
For sun and sky illumination OASIM includes a model for direct (sun) and diffuse (sky and cloud) down-welling solar radiation across the visible spectrum and out to 4 microns, (the long-wave spectral limit for solar-sourced photons of any practical significance to terrestrial energy flux). This model is driven by estimates of atmospheric column water vapour, stratospheric ozone, aerosol type and abundance, and cloud opacity (inferred from liquid water path), plus solar zenith angle and time of year.
Some of the inputs to this model are difficult to estimate sufficient to obtain agreement with an independent estimate of the short-wave surface flux (SWSF), a value from a third-party source in which we have confidence. Thus we added a second illumination model from Curtin University based upon simulations using the RADTRAN-X model within EcoLight which we could constrain to match the SWSF.
In this revised CSIEM model, direct and diffuse down-welling solar radiation are calculated under an aerosol regime consistent with local conditions as characterised by quality assured aerosol optical depth data from the AERONET station at Rottnest Island. Appendix B provides detail on the CSIEM illumination model . As input, it accepts the solar zenith angle, day of year and SWSF. The SWSF is converted to an estimate of cloud clover so that the direct and diffuse irradiances can be interpolated from look-up tables that are indexed by solar zenith angle (actually the coefficients of a fourth order polynomial in cosine of solar zenith angle) and a cloud cover that is discretized to values of 0 and from 0.3 to 1.0 in 0.1 increments (less than 0.3 is treated as unoccluded sun). These estimates of direct and diffuse surface irradiance are computed at 5 nm spectral resolution then aggregated to the 33 spectral bands adopted in the OASIM model.
13.4.1.2 Below-water
Light propagation in the water column is an implementation of the OASIM underwater model. Light in 33 OASIM spectral bands, distinguished as separate streams of direct and diffuse light provided by the Atmosphere model, is diminished as it crosses the air/sea interface. In each spectral band the bulk optical properties of each discrete layer of the in-water model act upon the light streams via scattering and absorption. The bulk optical properties are the volumetric aggregates of absorption, total scattering and back-scattering, expressed in units of extinction per metre. The aggregate is for the combination of sea water and several optically active biota and sediment species, quantified in the CSIEM model by concentration and inherent optical properties (IOPs). In each layer there is some redirection of the direct beam via scattering into the diffuse component, and there is some diminution of both direct and diffuse streams via absorption. The photosynthetically available radiation (PAR) at levels in the water column are available by integration across the OASIM bands that capture the spectral range 400 to 700nm.
13.4.2 Light climate exploration and benchmarking
In application of the light model within Cockburn Sound we first undertake a controlled assessment of CSIEM by comparing and benchmarking against expected profiles across a gradient of conditions. For this purpose, locations in Table 14.1 were selected.
Table 14.1. Location of sites for model validation, including seafloor depth (metres below mean sea level).
| LOCATION | NOTES | LON | LAT | SEAFLOOR |
|---|---|---|---|---|
| Deep_Basin | middle of Cockburn Sound | 115.709 | -32.187 | 21.60 |
| East_Garden_Island | seagrass area | 115.685 | -32.196 | 10.88 |
| Freshwater_Bay | Swan estuary with high DOM and CHLA | 115.778 | -32.001 | 14.83 |
| Kwinana_Shelf | more turbid coastal water | 115.753 | -32.214 | 7.95 |
| Mangles_Bay | southern Cockburn Sound | 115.716 | -32.271 | 11.94 |
| Mullaloo_Beach | general northern coast | 115.677 | -31.743 | 8.12 |
| Owen_Anchorage | coastal water | 115.704 | -32.107 | 15.08 |
| Validation | site for light validation at kwinana Shelf | 115.748 | -32.196 | 7.04 |
| West_Rottnest | open ocean water | 115.397 | -32.019 | 62.91 |

Figure 13.1. Absorption and scattering (/m) of optically active constituent species at 400nm for each site over the sunlit portion of the two days of the CSIEM simulation.
Summary plots are shown in Figure 13.2 that characterise these 9 locations in terms of extinction by optically active species and split into extinction due to absorption and to scattering. The results labelled ‘TOTAL’ represent the combined effect of all species. The aggregation is over the two days of the CSIEM simulation and are drawn from EcoLight computations for each profile at the half hour time-step of the CSIEM for the sunlit hours. The first figure is at 400nm, the second at 550nm and the third at 700nm.
For the three spectral channels, and for all sites except the open-ocean West Rottnest site, sediment is the dominant contributor to extinction.
The relative proportion of Total absorption to scattering is highest at 700 nm. The plots show how, in general, the dominant absorber at 400nm is CDOM and at 700nm is the sea water itself.
The relative proportion of Total scattering is greatest at 550 nm. At 400 nm Total scattering dominates, but Total absorption also contributes a significant impact to spectral extinction. At 400 nm, at most sites the scattering due to sediment dominates, although at the open-ocean West Rottnest site extinction due to sediment scattering is similar to extinction due to ch-a and POC.
There is a close association between both scattering and absorption of Chl and POC at all three wavelengths. At Freshwater Bay the contribution of Total scattering is an order of magnitude larger than at all other sites.
Figure 13.2. Absorption and scattering (/m) of optically active constituent species at 550nm for each site over the sunlit portion of the two days of the CSIEM simulation.
Figure 13.3. Absorption and scattering (/m) of optically active constituent species at 700nm for each site over the sunlit portion of the two days of the CSIEM simulation.
Figure 13.4 shows the shortwave radiation from CSIEM model data (upper panel) and from the weather observation data (lower panel) for the daylight hours of the two model simulation days. By choosing noon and 4pm on each day we have clear and cloudy conditions at the two solar zenith angles of approximately 10 and 50 degrees.
****
Figure 13.4. Shortwave flux from CSIEM model and from weather data. From 11:30 to 16:30 on 6 January, some amount of cloudiness diminishes the shortwave radiation compared to the clear sky conditions of the previous day, and cloudiness is greatest at noon and 4pm. These are the times we will use in comparing CSIEM model results with EcoLight to provide clear and cloudy conditions at two solar zenith angles.
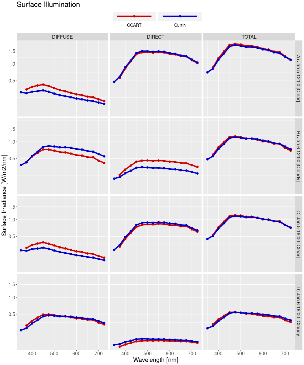
Figure 13.5 shows the surface illumination from NASA’s Coupled Ocean and Atmosphere Radiative Transfer (COART) and from the newly developed light model in CSIEM for the 4 times identified in Figure7.4. Whilst there can be noticeable differences in the direct/diffuse mix of light at the ocean surface, this plot shows a general agreement with an alternate well-regarded model. This supports the veracity of the Curtin light model and its implementation in CSIEM.

Figure 13.5. Surface illumination at the OASIM band centres from COART and Curtin light models for the 4 comparison times in Fig B4. COART was run at 1nm resolution and aggregated to the OASIM bands.
13.4.3 PAR Comparisons
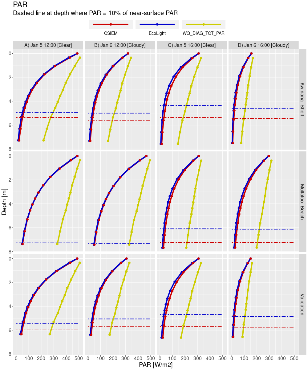
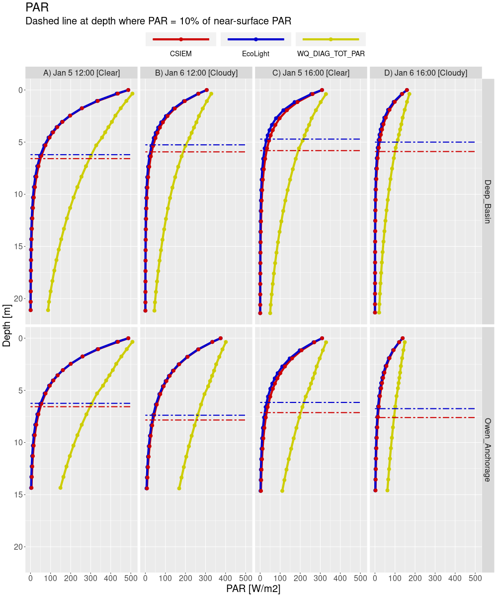
The plots on the following pages show comparisons between PAR computed using CSIEM and EcoLight for the 9 locations and 4 times. The solar zenith angle at noon is about 11 degrees and at 4pm about 49 degrees. The plots are grouped into sites with similar bathymetry.
The agreement between CSIEM and EcoLight is very good, and much improved relative to a single band light propagation model (which is included as an uninformed reference by which to compare).
Dashed lines on each plot indicate the depth at irradiance falls to 10% of the near-surface value. For all sites the 10% depth is greater for CSIEM than for Ecolight. This shows the diffuse attenuation coefficient of downwelling PAR, KPAR, is slightly lower for CSIEM than for Ecolight.

Figure 13.6. PAR at depth comparisons for sites Kwinana_Shelf, Mullaloo_Beach and Validation.
Figure 13.7. PAR at depth comparisons for sites East_Garden Island, Freshwater_Bay and Mangles_Bay.
Figure 13.8. PAR at depth comparisons for sites Deep_Basin and Owen_Anchorage.
Figure 13.9. PAR at depth comparisons for site West_Rottnest.
We additionally performed an integration of PAR over a single day to obtain the daily energy flux, sometimes termed the Daily Light Integral (DLI), available in the PAR band at several ocean depths. There is a high bias to the estimate of this quantity from CSIEM compared to EcoLight which is at its least for site West_Rottnest and at its most for site Freshwater_Bay. The fundamental difference between the two models is the modelling of the diffuse light field. For clearer water, or more correctly waters with a lower proportion of scattering, the diffuse nature of the light field in each model is very similar and attenuation is dominated by absorption. However, as the impact of scattering increases, the downwelling light field in Ecolight becomes more diffuse than in CSIEM. The slight difference in the modelled diffuse light field was shown to affect the 10% depth in Figures B7-B10.
Figure 13.10. Daily energy flux in PAR band derived from EcoLight and CSIEM results for all nine sites at several depths.
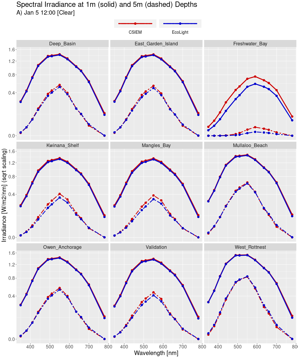
13.4.4 Spectral Irradiance Comparisons
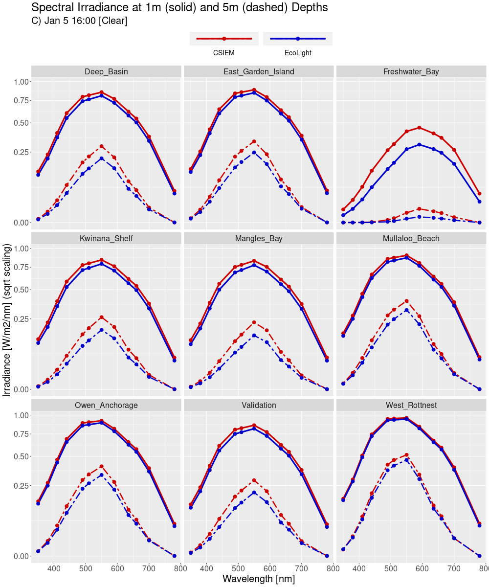
The following analyses present plots of multi-spectral irradiance from CSIEM and EcoLight at depths of 1 and 5 metres for each location. Each page is for one of the four times identified in Figure B4 to cover clear and cloudy conditions at two solar zenith angles.
If we ignore the very turbid Freshwater Bay site, then the agreement of CSIEM with EcoLight is excellent for Figure B12, clear sky at 12:00 pm and for 1 m depth. For the other days and times, spectra are in very good agreement.
For the Freshwater Bay site, the downwelling irradiance spectra for CSIEM and Ecolight display distinct differences in overall intensity. For all times, the Ecolight modelled spectral irradiance is less than the CSIEM modelled irradiance. These results are the same as portrayed earlier in PAR depth profiles and for the daily integrated energy FLUX.
Figure 13.11. January 5, 2023 at noon (clear sky), spectral irradiances from EcoLight and CSIEM interpolated to 1m and 5m depths for the nine comparison sites.
Figure 13.12. January 6, 2023 at noon (cloudy conditions), spectral irradiances from EcoLight and CSIEM interpolated to 1m and 5m depths for the nine comparison sites.
Figure 13.13. January 5, 2023 at 4pm (clear sky), spectral irradiances from EcoLight and CSIEM interpolated to 1m and 5m depths for the nine comparison sites.
Figure 13.14. January 6, 2023 at 4pm (cloudy conditions), spectral irradiances from EcoLight and CSIEM interpolated to 1m and 5m depths for the nine comparison sites.
13.4.5 Assessment of light dynamics
The field spectra from Cockburn Sound are made by MS9 instrument with 10nm FWHM spectral filters centered on wavelengths 448, 470, 524, 554, 590, 628, 656, 699 nm. Across the PAR band, CSIEM channels are 25 nm wide and the Curtin light model provides illumination representative of these wider channels. In its output data product, CSIEM provides results interpolated to another set of discrete wavelengths. Across the PAR band these are 410, 440, 490, 510, 550, 590, 635, 660, 700 nm. Whilst these differences are not outcome determinant to the modelling objectives, they can lead to small apparent anomalies when comparing model data to field spectra.

Figure 13.15. Surface illumination on January 5, 2023 (left panel) and how these data yield synthetic CSIEM and MS9 outputs (right panel). The source data are from EcoLight at 1nm resolution and the differences in the right panel are artefacts due only to the different processing paths.
13.4.6 Single profile assessment
In this section we compare Hydrolight-modelled light profiles to in-situ spectral profile measurements, in order to understand spectra attenuation coefficients.
We aimed to run Hydrolight with known concentrations of optical constituents which would then enable us to predict the spectral light profiles. These modelled profiles could then be compared to in-situ spectral profiles. Note, we don’t know what IOPs to use so we used “standard” Hydrolight IOP models.
We searched the in-situ data base to identify dates and locations where coincident spectral light profiles and in-water constituent concentration data existed. Specifically, we searched for chlorophyll, TSS and CDOM concentrations. We failed to identify any dates and locations with all four sets of coincident data. We then limited the search to spectral profiles, chlorophyll and TSS. Only four dates were identified, all at site 6147034. Table 1 lists the dates, chlorophyll and TSS concentrations for the four sets of in-situ data.
Table 14.2. Dates, chlorophyll and TSS concentrations for the four in-situ comparison data sets.
| Site code | date | Chl mg/m3 | TSS mg/L |
|---|---|---|---|
| 6147034 | 2/2/2022 | 0.7 | 1.9 |
| 6147034 | 3/6/2021 | 0.7 | 1.1 |
| 6147034 | 7/5/2021 | 0.7 | 0.8 |
| 6147034 | 20/7/2021 | 1.3 | 1.1 |
We ran Hydrolight for the four scenarios outlined in Table 14.3. In the absence of a complete description of the optical conditions, we undertook model runs across a range of conditions to help identify the impact of this uncertainty.
Table 14.3. Various input values for Hydrolight modelling
| CDOM a440 (m-1) | 0.02, 0.12, 0.30, 1.50, 3.00 |
| Sky conditions | Clear, cloudy (100%) |
| Substrate albedo | Sandy, black |
| Wavelengths (nm) | 412.5, 442.5, 492.5, 512.5, 552.5, 592.5, 637.5, 662.5, 702.5 |
Figure 13.16(a-d) show the in-situ and modelled spectral profiles as well as derived spectral diffuse attenuation coefficients, K. Each figure contains nine separate plots, one for each spectral profiling band \[410 nm, 440 nm, 490 nm, 510 nm, 550 nm, 590 nm, 635 nm, 660 nm, 700 nm\]. The vertical axis is depth in metres. The lower axis of each plot is the spectral irradiance in uW/cm2/nm. The axes are only labelled on the lower row of plots. The top axis is the spectral diffuse attenuation coefficient in m-1, only labelled for the top row of plots.
Red stars and green dots indicate the spectral profiling irradiance data. Exponential curves were fitted to the profile data, however near-surface measurements were discarded. For the example plots shown here, any data shallower than 4 m was not employed in the curve fitting (noted on the plots by “depth limit = 4.0 m”). It is not uncommon for near-surface light data to be impacted by wavy surface conditions and/or instrument shading issues. In fact, for some of the Cockburn Sound in-situ data there were quality control notes included that sometimes mentioned potential shading of the instrument by surface floats. The thick dark-blue curve indicates the exponential function fitted to the measurements indicated by the red stars. The spectral diffuse attenuation coefficient, K, derived from each of these curves is indicted on each plot as text in the upper left corner. The coefficient of determination, R2, is also indicated on each plot.
A simple approach to determining depth profile K values is to consider the change in light intensity between each successive light measurement. The cyan “jagged curves” indicate K values derived by this method. It is interesting to consider the range of K values (top axis) compared to the K values derived by fitting a curve to the light profiles.
The orange curve on each plot is the spectral irradiance profile derived from Hydrolight for the Chl and TSS concentration values listed in Table 14.2, and for a CDOM value a440 = 0.02 m-1, clear sky and a sandy substrate.
The various thin blue curves show the spectral irradiance profiles derived from Hydrolight for the increasing CDOM values listed in Table 14.3 at either sandy or black substrate and clear or cloudy sky conditions.
Figure 14.16a. Wavelength specific light profiles, showing best fit curves for light attenuation.

Figure 13.16b. Wavelength specific light profiles, showing best fit curves for light attenuation.

Figure 13.16c. Wavelength specific light profiles, showing best fit curves for light attenuation.

Figure 13.16d. Wavelength specific light profiles, showing best fit curves for light attenuation.
13.5 Spectral validation
Figure 13.17 shows a comparison of the CSIEM spectral measurement vs the value observed via the is situ measurement sensor at the Kwinana Shelf site. The field data from this sensor had some questionable signatures, including peak irradiance at 470nm, so this was not further explored.

Figure 13.17. CSIEM modelled spectral irradiance at depth compared to MS9 field spectra.
13.5.1 Seasonal spectral validation
Both the measured and modelled light climates showed a similar seasonal trend with peak light intensity in December 2022 then gradually decreased to July 2023, and higher light intensity in wave lengths of 448 nm – 590 nm (Figure 13.18). A regression of measured vs. modelled light in all spectrum (Figure 13.19 indicated the model captured the range and trend of light, though the model tended to overpredict the short wavelength (398 nm) and underpredict the long wavelength (699 nm). This is probably due to that the model slightly overpredicted the concentration of suspended solids (SS), that has major impacts on reducing the short wavelength light. Other factors such as POC and DOC also have major impacts on the relatively short wave length spectrum. However, there is no field observations for validating the POC and DOC concentrations in Cockburn Sound.

Figure 13.18. Seasonal variation in spectral irradiance compared to MS9 field spectra at the Kwinana Shelf site.
To further examine the effects of inherent optical properties (IOPs) on the light decaying along the water column, the modelled SS, total chlorophyll-a (TCHLA), POC and DOC concentrations and their effects on the light absorbance are shown in Figure 13.19. The mean SS concentration during the model period is *, which led to a reduction rate of ** /m for wavelength of 350. In comparison, the mean TCHLA, POC, and DOC concentrations are ***, respectively, which led to a reduction rate of **/m for wave length of 350. The SS concentration showed to be the relatively dominant factor affecting light climate with short wave lengths. However, the absorbance of light of SS, POC, and DOC decreased quickly with the increase in wave lengths, while TCHLA has higher absorbance in wave lengths > *** nm.

Figure 13.19. Wavelength specific light profiles, showing best fit curves for light attenuation.

Figure 13.20. Wavelength specific light profiles, showing best fit curves for light attenuation.
13.6 Summary
The CSIEM model is well suited to resolving the variability in the underwater light climate. Underwater irradiance is closely related the inherent optical properties of water, such as suspended solids, detrital material, and total chlorophyll-a, and the performance of CSIEM in capturing these is reported in Chapter 12.
The bulk-PAR simulation approach accounts for the various drivers of light attenuation, and is consistent with the routinely collected \(K_d\) estimates from light profile data, including from areas which are more wave-exposed (e.g., Gage Roads) vs areas which are more protected (e.g., Cockburn Sound). Some uncertainty exists in the exact contribution between detrital vs inorganic sediments vs chl-a in the overall attenuation and further sensitivity testing and calibration is recommended in future version updates. Nonetheless, the underwater light intensity at the Kwinana Shelf site was accurate and the current base calibration is well-suited to investigations of the sensitivty between water quality and seagrass habitat.
The more advanced spectral-light model option has also been able to accurately capture the underwater light intensities, with the advatage that it was able to also reasonably resolve the full light spectra, particularly for the wavelengths between of 448-656 nm, which are the major energy provider to primary producers such as seagrass. Some, misalignments were noted in wavelengths <448 nm and > 656 nm, and further refinement of the IOP concentrations over time will improve these. It is worth noting that these wavelengths produce a small portion to support the photosynthetic activities of seagrass.



